728x90
반응형
물리학을 배우면서 삼각 치환법을 자주 쓰게 되어서 복습하는 차원에서 이렇게 포스팅을 해본다.
내가 이번에 풀게된 문제는 다음과 같다. :

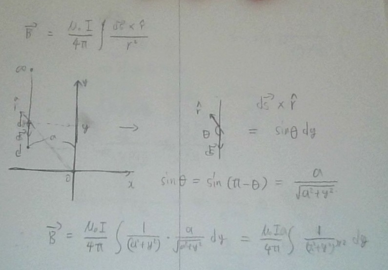
여기서 각 도선의 파트에 따라서 비오 - 사바르의 법칙을 적용해야할 때가 있다.

이걸 왼쪽의 도선에 대해서 적용하면 다음과 같다 :

따라서
$$ \frac{{\mu}_0 I}{4 \pi} \int_{}{} \frac{1}{(a^2 + y^2)^{3 \over 2}} dy $$
를 어떻게든 적분해야한다. 이를 적분하는 과정은 삼각 치환을 동반하는데, 다음 과정과 같다 :

아무튼 삼각치환법 잊지말라고 쪽글을 남긴다. 수학 공부는 열심히!
728x90
반응형
'대학교과 > etc과목' 카테고리의 다른 글
| 대학물리 - 수리물리학 1차 선형 미분 방정식 간단한거 풀기 (0) | 2021.11.07 |
|---|---|
| 대학수학 - 수열 관련 노트 (0) | 2021.10.12 |
| [건축용어 정리] - 예술과 건축 (0) | 2021.06.06 |
| [선사시대] 메소포타미아 - 예술과 건축 - 강의록 1 (0) | 2021.06.06 |
| 대학수학 - 선형화와 뉴턴의 방법 (0) | 2021.04.23 |